O Ministério da Saúde publicou duas portarias, no Diário Oficial da União(DOU), autorizando repasses milionários para assistência financeira no Amazonas.
A primeira portaria foi publicada na segunda-feira, 22, e libera investimentos na ordem de R$ 10.481.527,84 referente ao mês de setembro, para reforçar a rede de saúde no estado. Apenas 59 municípios serão contemplados com o benefício, entre as cidades que receberão as maiores parcelas estão: Nhamundá com R$ 985.225,00; Parintins R$ 847.617,83; Coari R$ 806.376,13 e Manacapuru R$ 740.934,08.
A portaria, assinada pelo ministro, Alexandre Padilha, já está em vigor. Os repasses fazem parte da estratégia do governo federal de garantir suporte financeiro complementar aos estados.
Confira quanto será repassado aos municípios:
Atenção Primária
Além do reforço complementar, o Ministério da Saúde também liberou verba para incremento temporário do custeio dos serviços de Atenção Primária à Saúde. Os valores são provenientes de emendas parlamentares voltadas ao reforço do Piso da Atenção Primária.
De acordo com a Portaria GM/MS nº 8.274/2025 , as propostas deverão ser processadas por meio do sistema InvestSUS, disponível no portal do Fundo Nacional de Saúde, que será responsável pela transferência dos recursos em parcela única, observadas as exigências legais. A prestação de contas da aplicação desses valores será feita por meio do Relatório Anual de Gestão (RAG), aprovado pelos conselhos locais de saúde, conforme estabelece a legislação vigente.
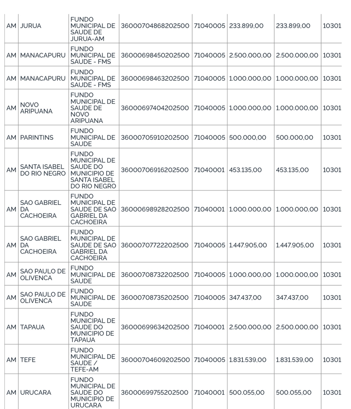
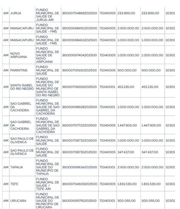
Dos 62 municípios do estado, apenas 19 foram contemplados para aporte na Atenção Primária. Confira a distribuição dos recursos para cada um:
Da Redação
Foto: Divulgação


